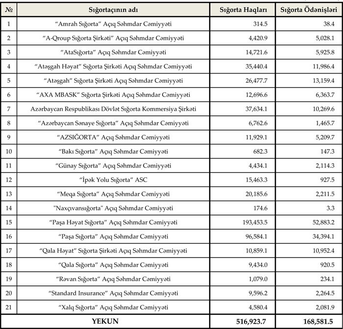
Hansı sığorta şirkəti nə qədər haqq toplayıb? - SİYAHI
2018-ci ilin yanvar-avqust ayları ərzində sığorta şirkətləri tərəfindən hesablanmış sığorta haqları və sığorta ödənişləri
21.09.2018
13:55
Müştərilərin xəbərləri
PAŞA Bank sahibkarlara illik 12%-dən başlayan biznes krediti və komissiyasız əməliyyatlar təklif edir
SON XƏBƏRLƏR
- 1 ay sonra
- 6 gün sonra
- 18 saat əvvəl
-
- 18 saat əvvəl
-
18 saat əvvəl
Yanvarda Azərbaycanda 402 ədəd minik avtomobili istehsal olunub - 71% ARTIM
- 19 saat əvvəl
- 19 saat əvvəl
- 20 saat əvvəl
- 21 saat əvvəl
- 21 saat əvvəl
-
21 saat əvvəl
"Fitch Solutions" 2026-cı ildə Azərbaycan iqtisadiyyatında artım ilə bağlı gözləntilərini yüksəldib
-
21 saat əvvəl
"2026-nın sonuna qədər Azərbaycanda uçot dərəcəsinin 6 %-ə enəcəyini gözləyirik"
Son Xəbərlər
Azərbaycanda Vakansiyalar - Azvak.az
04.04.2026
14:14
Kriptovalyuta ticarəti kursu
27.02.2026
17:27
AZCON-nun Müşahidə Şurasına yeni üzvlər təyin edilib
20.02.2026
17:13
Yeni büdcə təşkilatları yaradılır - FƏRMAN
20.02.2026
16:37
DOST xidmətləri şəbəkəsi bu il daha da genişlənəcək
20.02.2026
15:19
"Fitch Solutions" 2026-cı ildə Azərbaycan iqtisadiyyatında artım ilə bağlı gözləntilərini yüksəldib
20.02.2026
15:05
Beynəlxalq analitik şirkətdən Dollar/Manat məzənnəsilə bağlı proqnoz
20.02.2026
14:22
Küçələrdə, ictimai yerlərdə elektron siqaret çəkənlər cərimələnəcək
20.02.2026
13:47
Elektron siqaretlərin idxalı, ixracı, istehsalı və satışına görə cərimələr müəyyənləşir - 5000 MANATADƏK CƏRİMƏ
20.02.2026
13:46
Maşınqayırma zavoduna sədr təyin edildi
20.02.2026
13:45
Fevralın 21-də gözlənilən hava şəraiti
20.02.2026
12:49

























