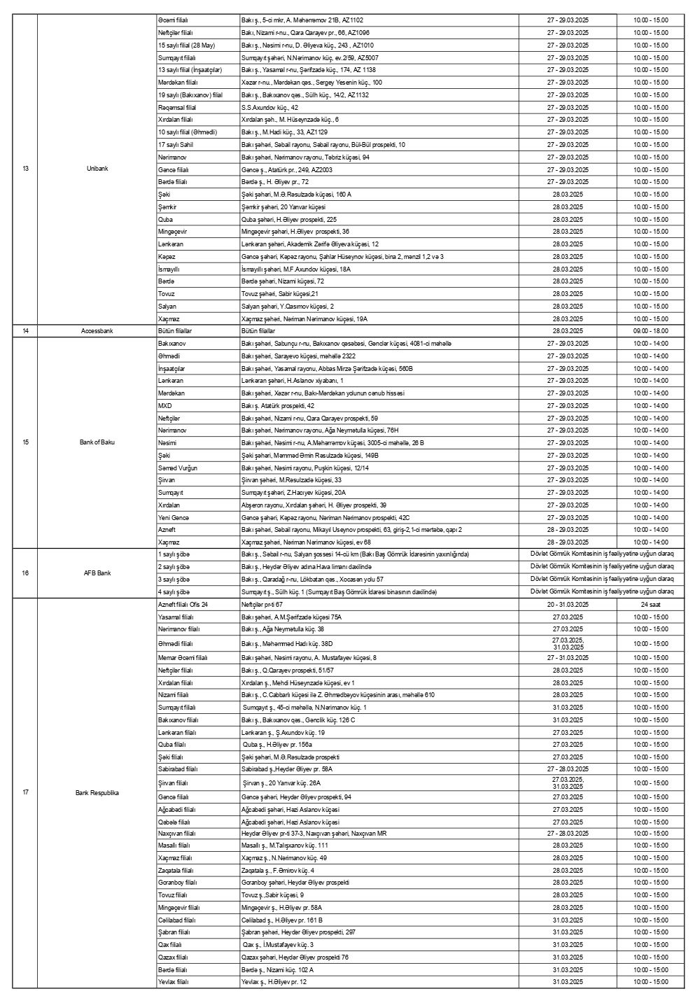
Bayram günlərində bankların iş qrafiki açıqlandı
Bayram günlərində 17 bankın 212 satış nöqtəsi müştərilərə xidmət göstərəcək.20 – 31 mart 2025–ci tarixləri olan qeyri-iş günlərində bankların və “Azərpoçt” MMC-nin bəzi filial və şöbələri, habelə valyuta mübadilə məntəqələri fəaliyyət göstərəcəklər.
Bu barədə Mərkəzi Bank məlumat yayıb.
Qeyd edilib ki, bayram günlərində ölkəmizdə səfərdə olan turistlərin və ölkə vətəndaşlarının valyuta mübadiləsi xidmətlərinə davamlı çıxış imkanlarının təmin edilməsi məqsədilə ümumilikdə 17 bankın 212 satış nöqtəsi (o cümlədən, 4 bank üzrə 9 satış nöqtəsi 24 saat rejimində olmaqla), “Azərpoçt” MMC-nin 30 poçt filialı və şöbəsi, valyuta mübadiləsinə lisenziya almış 8 valyuta mübadiləsi məntəqəsi (o cümlədən, 2-i 24 saat rejimində olmaqla) müştərilərə xidmət göstərəcək.
Bayram günlərində iş qrafiki:
Müştərilərin xəbərləri
“McDonald’s Azərbaycan” və DSMF şəhid və qazi övladları üçün Novruz bayramı tədbiri təşkil edib - FOTO
SON XƏBƏRLƏR
- 1 həftə sonra
- 3 saat əvvəl
-
4 saat əvvəl
Uçuş bileti qiymətlərində 560%-dək artım turizmi təhdid edir
-
-
5 saat əvvəl
"İnflyasiya risklərinin artması səbəbindən FED faiz dərəcələrinin artırılmasına başlaya bilər"
- 5 saat əvvəl
-
5 saat əvvəl
Rusiyadan İrana göndərilən humanitar yardım Qaradağdan yola salınıb
- 5 saat əvvəl
- 6 saat əvvəl
-
6 saat əvvəl
Neft bazarında narahatlıq yaradan iddia: Tramp administrasiyasından 200 dollarlıq ssenari
- 6 saat əvvəl
- 6 saat əvvəl
-
7 saat əvvəl
"ABŞ-ın “sürətli qələbə” və “rejim dəyişikliyi” kimi hədəfləri uğursuz olub"
Son Xəbərlər
Azərbaycanda Vakansiyalar - Azvak.az
Martın 27-də gözlənilən hava şəraiti
Uçuş bileti qiymətlərində 560%-dək artım turizmi təhdid edir
Rusiyadan İrana göndərilən humanitar yardım Qaradağdan yola salınıb
Qeyri-müəyyənlik yüksək olaraq qalır, neft qiymətləri artır
Neft bazarında narahatlıq yaradan iddia: Tramp administrasiyasından 200 dollarlıq ssenari
Ən çox oxunanlar
Putin Rusiyadan külçə qızıl ixracını qadağan edib
Tramp: İran razılaşmaq istəyir, amma bunu deməyə qorxur
İran: ABŞ ilə heç bir danışıqlar aparılmır
Meta bu il ikinci ixtisar dalğasına başlayıb
Sony və Honda elektrik avtomobili layihəsindən imtina etdi
Müharibənin İspaniya şirkətlərinə gündəlik zərəri 5 milyard avrodur























