Sığorta şirkətlərinin 2021-ci ildəki yığımları və ödənişləri açıqlandı - SİYAHI
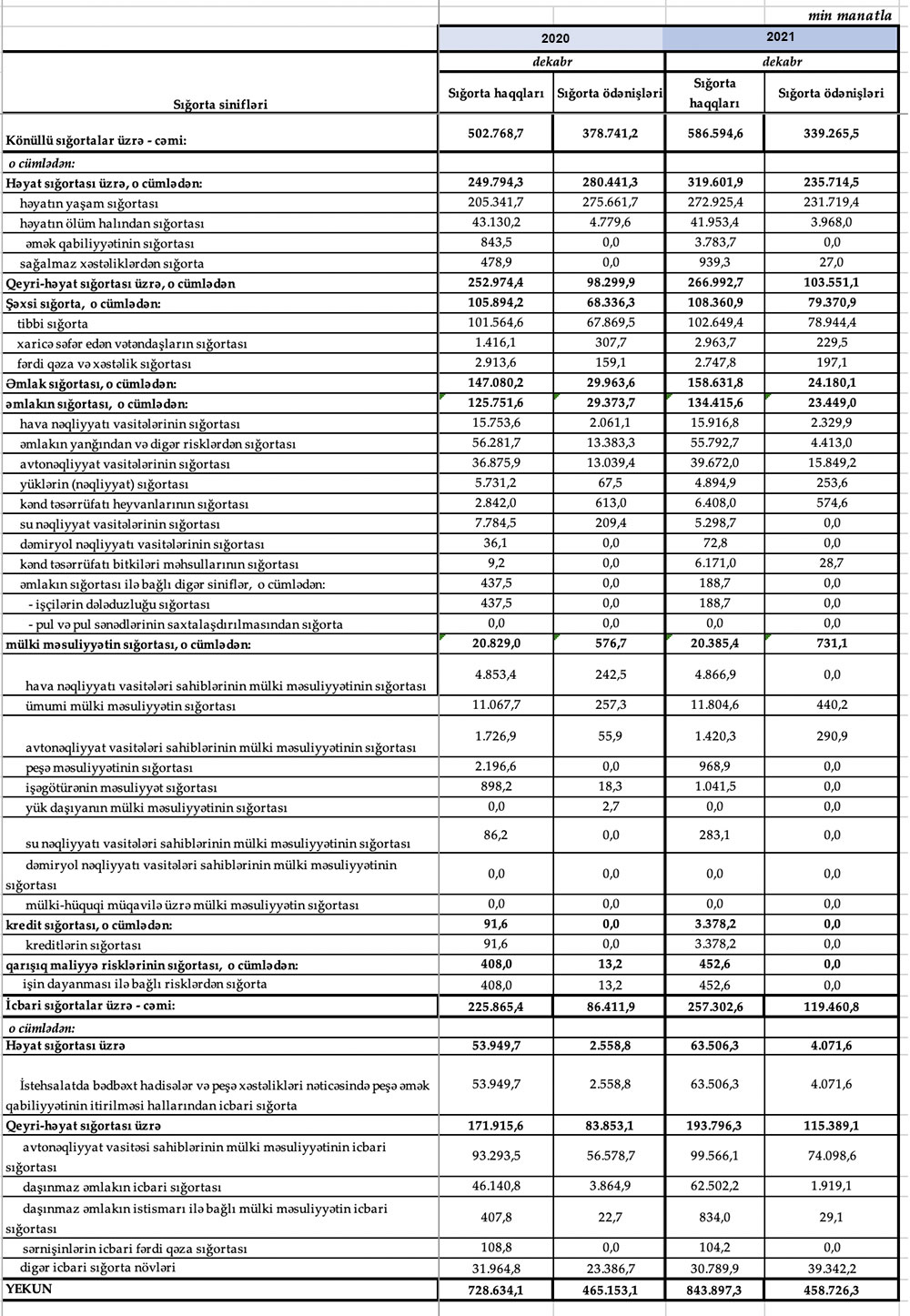
2021-ci il üzrə sığorta icmalı açıqlanıb.Mərkəzi Bank 2021-ci ildə sığortaçılar tərəfindən hesablanmış sığorta haqları və sığorta ödənişləri barədə məlumatları dərc edib.
Marja.az Mərkəzi Banka istinadən təqdim edir.

Müştərilərin xəbərləri
SON XƏBƏRLƏR
- 1 həftə sonra
- 1 həftə sonra
- 1 gün sonra
-
- 5 saat əvvəl
-
5 saat əvvəl
"Azərbaycan Dəmir Yolları"da 6 milyard 263 milyon manatlıq defisit - ÖTƏN İL ZƏRƏRİ 18 DƏFƏ ARTIB
- 6 saat əvvəl
-
6 saat əvvəl
Bakcell “Media Savadlılığı” Konfransının innovasiya tərəfdaşıdır
- 6 saat əvvəl
- 7 saat əvvəl
-
8 saat əvvəl
11 ayda kərə yağı idxalı Azərbaycandan təxminən 160 milyon dolların çıxmasına səbəb olub
-
8 saat əvvəl
Dövlət şirkəti istiqraz buraxılışı yolu ilə 30 milyon dollar borc alır
- 8 saat əvvəl
Son Xəbərlər
Biznesiniz üçün QISA NÖMRƏ (Ulduz nömrə) alın
Azərbaycanda Vakansiyalar - Azvak.az
Ödənişsiz investisiya seminarı: Yatırımda təcrübə qazan
Dövlət Vergi Xidmətinin rəisinə 2 yeni müşavir təyin edilib
Elektron siqaretlərin idxalı və satışı ilə məşğul olan şirkətlər ciddi narahatdırlar – “DAHA UZUN ZAMANA EHTİYACIMIZ VAR”
Dolların sabah üçün rəsmi məzənnəsi müəyyən olunub
Vergi nəzarətində yeni mərhələyə keçid planlaşdırılır - elektron audit tədbirinin ləğvi nəzərdə tutulur
Ən çox oxunanlar
11 ayda kərə yağı idxalı Azərbaycandan təxminən 160 milyon dolların çıxmasına səbəb olub
1 ton Azərbaycan narının ixracından gəlir 100 dollar artıb
Bakı metrosunun reklam gəlirləri açıqlanıb
"KƏPƏZ BOKT"ın istiqrazlarına 55 investor 55 sifariş təqdim edib, emissiya tam məbləğdə yerləşdirilib
11 ayda Azərbaycana 108 milyon dollara yaxın gəlir gətirən məhsul













.jpg)







.jpg)
