Depozitlərdə dollarlaşma aşağı düşür
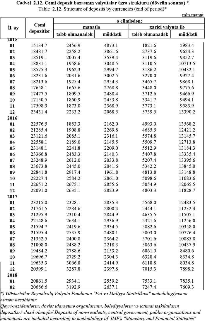
2018-ci ilin Fevral ayının sonuna banklarda cəmi depozitlər 20 milyard 686.6 milyon manat təşkil edib.
"Marja" Mərkəzi Bankın statistikasına istinadən xəbər verir ki, depozitərin 5 milyard 830 milyon manatı və ya 28,2%-i milli valyutada, 14 milyard 856,7 milyon manatı və ya 71,8%-i xarici valyutada olub.
Yanvar ayında bu nisbətlər müvafiq olaraq 26,3% və 73,7% təşkil etmişdi.
Müştərilərin xəbərləri
Azercell-in dəstəyi ilə “RobotChallenge 2026” üzrə Azərbaycanda milli seçim mərhələsinin hazırlıq işləri davam edir
OBA FMCG sektorunda ilkə imza atıb – “Sənin ideyan dəstəklənir” İnnovativ Həllər Marafonunun qalibləri müəyyənləşib – FOTO-VİDEO
SON XƏBƏRLƏR
- 1 ay sonra
- 1 həftə sonra
- 9 d. əvvəl
-
- 16 d. əvvəl
- 45 d. əvvəl
- 46 d. əvvəl
- 1 saat əvvəl
-
1 saat əvvəl
Türkiyə ən çox xam neft və neft məhsullarını Rusiya, İraq və Qazaxıstandan alıb
-
1 saat əvvəl
Beynəlxalq Halal Forumda “Azərbaycan pavilyonu” böyük maraqla qarşılanıb
-
2 saat əvvəl
"Əminəm ki, biz, həmçinin Azərbaycana çox məhsullar təqdim edə bilərik"
-
12 saat əvvəl
YouTube-un illik gəliri 60 milyard dolları keçib: Ən çox qazanan yutuber kim olub?
- 1 gün əvvəl
Son Xəbərlər
Azərbaycanda Vakansiyalar - Azvak.az
Kriptovalyuta ticarəti kursu
Yaponya iqtisadiyyatı cüzi artıb
Anthropic-in dəyəri 380 milyard dollara çatıb
Fevralın 15-də gözlənilən hava şəraiti
Azərbaycan neftinin son qiyməti
S&P Azərbaycanın bank sektoru qiymətləndirməsini yaxşılaşdırıb
"Domino’s Pizza"nın "İnşaatçılar" filialı açılır
Dolların bazar ertəsi üçün rəsmi məzənnəsi müəyyən olunub

























