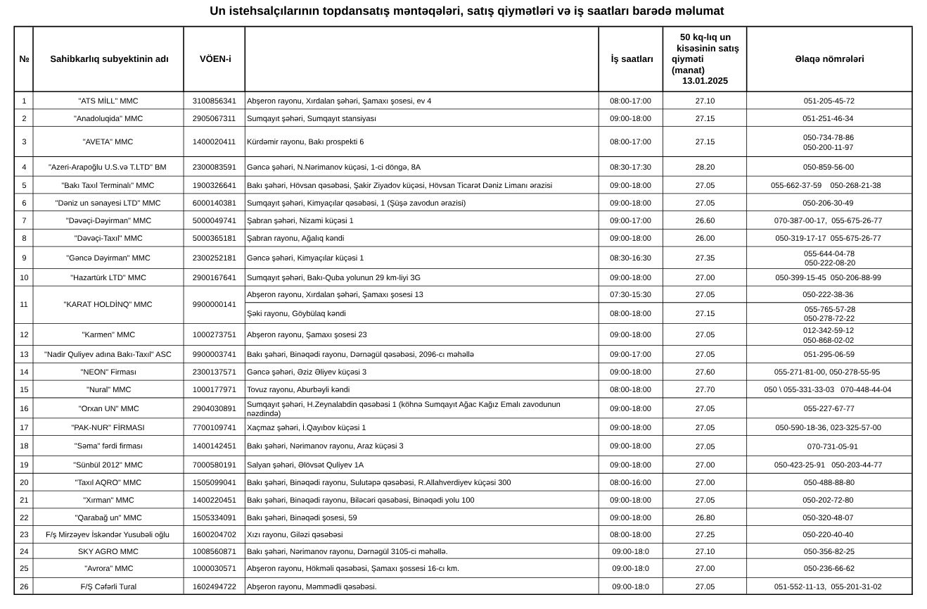
Dünyada buğda ucuzlaşsa da, Azərbaycanda un istehsalçıları qiymətləri artırıb
50 kq-lıq un kisəsinin qiymətləri 50 qəpyədək artırılıb.İqtisadiyyat Nazirliyi yanında Antiinhisar və İstehlak Bazarına Nəzarət Dövlət Xidməti 10 fevral 2025-ci il tarixinə "Un istehsalçılarının topdansatış məntəqələri, satış qiymətləri" bardə məlumatları açıqlayıb.
Marja.az-ın əvvəlki qiymətlər ilə apardığı müqayisəsi göstərir ki, son 1 ayda un qiymətləri artırılıb.
Belə ki, 14 Yanvar 2025-ci il tarixində açıqlanmış məlumatda 50 kq-lıq un kisəsinin satış qiymətiləri 26 manat - 28,20 manat civarında ikən, dünüən açıqlanan qiymətlərdən məlum olur ki, artıq un istehsalçılarının topdansatış satış qiymətləri 26,50 manat 28,20 manat civarındadır. Unun kisəsini 27 manatın üzərində təklif edən əksər istehsalçılar qiymətləri 10-50 qəpik civarında artırıblar.
Qeyd edək ki, dünya bazarlarda buğdanın qiyməti artmayıb, əksinə düşüb. Birləşmiş Millətlər Təşkilatının (BMT) Ərzaq və Kənd Təsərrüfatınnın (FAO) Taxıl Qiymətləri İndeksinə görə, taxıl qiymətləri yanvar ayında aylıq müqayisədə 0,3 faiz artsa da, illik müqayisədə 6,9 faiz azalıb. Yanvar ayında buğdanın ixrac qiymətləri cüzi azalma göstərib. Zəif idxal tələbi qiymətlərə təzyiq göstərib.
Un istehsalçılarının topdansatış məntəqələri, satış qiymətləri və iş saatları barədə məlumat - 10.02.2025

Un istehsalçılarının topdansatış məntəqələri, satış qiymətləri və iş saatları barədə məlumat - 10.01.2025

Müştərilərin xəbərləri
SON XƏBƏRLƏR
- 1 həftə sonra
- 1 həftə sonra
- 1 həftə sonra
-
-
2 saat əvvəl
Mürvət Həsənli Kənd Təsərrüfatı Nazirliyi yanında İctimai Şuranın sədri seçilib
- 3 saat əvvəl
- 3 saat əvvəl
-
4 saat əvvəl
Mənzil seçərkən diqqət edilməsi vacib olan əsas amillər hansılardır?
- 4 saat əvvəl
- 4 saat əvvəl
-
4 saat əvvəl
Unibankın Yeni il kampaniyası davam edir: 0 % komissiya, 2 % endirim!
- 4 saat əvvəl
- 4 saat əvvəl
Son Xəbərlər
Biznesiniz üçün QISA NÖMRƏ (Ulduz nömrə) alın
Azərbaycanda Vakansiyalar - Azvak.az
Ödənişsiz investisiya seminarı: Yatırımda təcrübə qazan
Dolların sabah üçün rəsmi məzənnəsi müəyyən olunub
Yoxlama aparılıb, “On numara”da ciddi nöqsanlar aşkarlanıb
Bərdə heyvan satışı bazarı fəaliyyətini bərpa edib
Ən çox oxunanlar
Metroda gediş haqqına 50% endirim edildi
Sərvəti 600 milyard dolları aşan ilk insan oldu
"Rusiya Donbas, Krım, Zaporojye və Xerson bölgələri ilə bağlı kompromisə getməyəcək"
Bakcell texno-blogerlər üçün “Media Tech” təlimini həyata keçirdi
Azərbaycanda elektron siqaretlər qadağan olunur
















.jpg)


.jpg)



