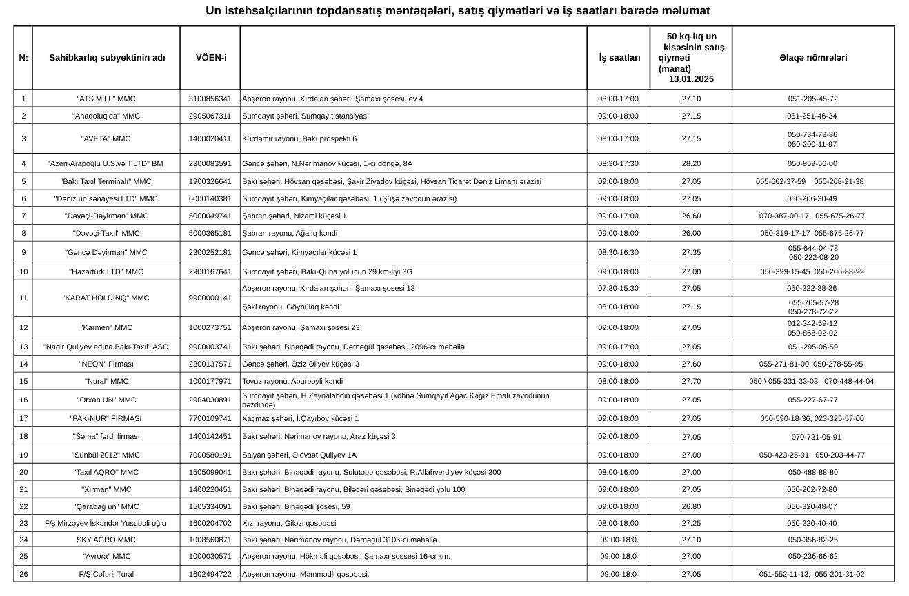
Dövlət Xidməti unun topdansatış qiymətləri barədə məlumat yayıb
Hazırda Azərbaycanda 50 kq-lıq un kisələrinin topdansatış qiymətləri 26-28 manat arasında dəyişir.
İqtisadiyyat Nazirliyi yanında Antiinhisar və İstehlak Bazarlarına Nəzarət Dövlət Xidməti Un istehsalçılarının topdansatış məntəqələri, satış qiymətləri və iş saatları barədə məlumat yayıb.
Qeyd edilib ki, 13 Yanvar 2025-ci il tarixində 50 kq-lıq un kisəsinin satış qiymətləri 26 manat - 28.20 manat civarındadır.
Müştərilərin xəbərləri
SON XƏBƏRLƏR
- 1 həftə sonra
- 1 həftə sonra
- 5 gün sonra
-
-
9 saat əvvəl
Naxçıvan və Urumçi şəhərləri arasında iqtisadi əməkdaşlığa dair onlayn görüş keçirilib
-
11 saat əvvəl
Rusiyada təsisçiləri Azərbaycandan olan şirkətlərin sayı artıb
- 11 saat əvvəl
-
12 saat əvvəl
Xarici vətəndaşlar üçün bəzi qoruq və muzeylərə giriş qiyməti dəyişir
- 12 saat əvvəl
- 12 saat əvvəl
- 12 saat əvvəl
-
12 saat əvvəl
Rəşid Behbudovun itmiş rəsmi ABB-nin dəstəyi ilə yenidən yaradıldı!
- 13 saat əvvəl
Son Xəbərlər
Biznesiniz üçün QISA NÖMRƏ (Ulduz nömrə) alın
Azərbaycanda Vakansiyalar - Azvak.az
Ödənişsiz investisiya seminarı: Yatırımda təcrübə qazan
Dolların sabah üçün rəsmi məzənnəsi müəyyən olunub
Yeni m10kart - İstədiyin an, istədiyin yerdə ödə
ABB İnvest “İlin investisiya şirkəti” seçildi
Ən çox oxunanlar
Zərgərlik sahəsində əyar nəzarəti sistemi formalaşdırılır
Rəşid Behbudovun itmiş rəsmi ABB-nin dəstəyi ilə yenidən yaradıldı!
Bakı Limanında rekord nəticə
Sahibkarın 4 milyon manatını ələ keçirməkdə təqsirləndirilən dəstənin məhkəməsi başlayıb
"FINCA Azerbaijan"ın dollar istiqrazlarına 54 investordan 54 sifariş - HƏRRACIN NƏTİCƏSİ
6 faydalı qazıntı yatağı hərraca çıxarılacaq
Paşinyan Azərbaycandan Ermənistana benzin tədarükünü alqışladı


















.jpg)



