"Avromed" işlənmiş avtomobillərini hərrac yolu ilə satır - QİYMƏTLƏR
"Avromed Company" QSC, balansında olan işlənmiş nəqliyyat vasitələrini hərrac yolu ilə satışa çıxarır.
Hərracda iştirak etmək istəyən hüquqi və fiziki şəxslər satınalma təkliflərini 14.12.2023-cü il saat 18:00-dək qapalı zərflərdə “Avromed Company” QSC-yə təqdim etməlidir.
Təklifdə aşağıdakı məlumatlar qeyd olunmalıdır:
- Fiziki şəxslər üçün: təklifin qiyməti, şəxsiyyət vəsiqəsinin surəti və bank rekvizitləri.
- Hüquqi şəxslər üçün: təklifin qiyməti, şirkətin hüquqi sahibinin şəxsiyyət vəsiqəsinin surəti və bank rekvizitləri.
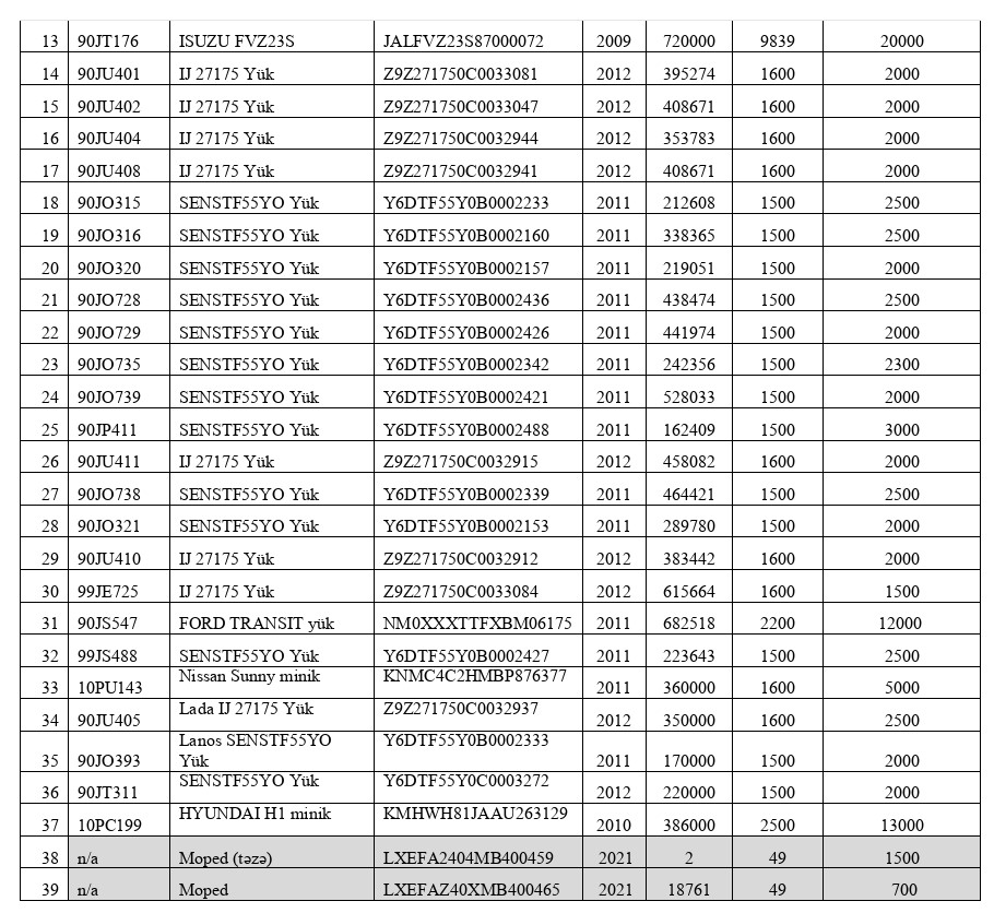
Nəqliyyat vasitələrinin sayı - 39.
Nəqliyyat vasitələri yalnız bir lotda satılacaq, ayrılıqda satışı mümkün deyil.
Əlavə qeydlər:
1. Avtomobillərin Dövlət Yol Polisi idarəsində qeydiyyatı alıcının hesabına aparılacaqdır;
2. ƏDV şirkət tərəfindən ödəniləcəkdir.
Təkliflərin göndəriləcəyi ünvan: “Avromed Company” QSC baş ofis, Neftçilər prospekti 153, Port Baku Cənub Qülləsi, 11-ci mərtəbə, Bakı, AZ1010, Azərbaycan.
Məsul şəxs: Azər Məmmədov, Nəqliyyat Parkının Meneceri (+994 55 215-72-67 / [email protected])
Nəqliyyat vasitələri haqqında ətraflı məlumat və başlanğıc qiyməti aşağıda göstərilib:
Müştərilərin xəbərləri
SON XƏBƏRLƏR
- 1 həftə sonra
- 1 həftə sonra
- 3 gün sonra
-
-
11 saat əvvəl
Birbank-la NFC ödənişləri tezliklə “Baku Bus”da: SINAQ mərhələsi başladı
-
1 gün əvvəl
"Top" tamamilə Kiyev və onun Avropa sponsorlarının tərəfindədir"
- 1 gün əvvəl
- 1 gün əvvəl
-
1 gün əvvəl
Cahan Şirkətlər Qrupuna daxil olan "Enna" şirkəti "Dayaq" mükafatına layiq görülüb
-
1 gün əvvəl
Nərimanovda premium mənzil arzulayanlar üçün 36 ayadək faizsiz kredit təklifi davam edir
-
1 gün əvvəl
“Naxtel” abunəçilərinin digər mobil operatorlara miqrasiyası uğurla tamamlanıb
-
1 gün əvvəl
Şikayətlərin yarıya yaxını internet və telefon rabitəsi xidmətlərilə bağlı olub
- 1 gün əvvəl
Son Xəbərlər
Biznesiniz üçün QISA NÖMRƏ (Ulduz nömrə) alın
Azərbaycanda Vakansiyalar - Azvak.az
Ödənişsiz investisiya seminarı: Yatırımda təcrübə qazan
Dolların bazar ertəsi üçün rəsmi məzənnəsi müəyyən olunub
Nərimanovda premium mənzil arzulayanlar üçün 36 ayadək faizsiz kredit təklifi davam edir
Azərbaycan Dəmir Yolları "Dərnəgül" dayanacağını tikir
Vəhşi heyvan hücumları ilə bağlı fermerlərə çağırış edildi
"Balıq ehtiyatlarının bərpası üçün Xəzərə və daxili su hövzələrinə 17-35 milyon ədəd körpə balıq buraxmağa ehtiyac var"
10 illik proqramı 3 ilə mənimsəmək imkanı - VİDEO+FOTO
Ucuz təbii qaz Avropanın sənaye böhranını həll etmədi














.jpg)





.jpg)
